The green line above, drawn between foci, is given to
be 10 units long. The center is its midpoint, so the
two foci are (4,4) and (4,-6).
The two blue lines are the latus rectums. They are given
as 9/2, so by subtraction of half that or 9/4 from
the x-coordinate of the focus (4,4), we get that
the left end of the upper latus rectum is the point
(7/4,4). The hyperbola goes through that point.
We know that the equation of the hyperbola is of the
form


and since the center is (4,-1), it's


or


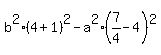
Since it goes through (7/4,4), we substitute that
for (x,y)








We know that c = 5 because c is the distance from the
center to the focus.
For all hyperbolas, 

or 

,
and so 

Substitute in


















; 



; 



; 

bē can only be positive, so
bē = 9
Substitute in






So the equation:


becomes:


Edwin