Question 1069954: 1 3 5 are the first three terms of the first differences of a quadratic sequence. The 7th term of the quadratic sequence is 35.
1.determine the 6th and 5th terms of the quadratic sequence (4)
2.Determine the nth term of the quadratic sequence(5)
Answer by KMST(5328) (Show Source):
You can put this solution on YOUR website! DISCLAIMERS:
1) Different teachers/schools/countries use
different symbols/formulas/names. For a few examples, what in USA is usually called arithmetic sequence is an arithmetic progression, or an AP in other places, and "trapezoid" and "billion" also change meaning as you move from one place to another.
2) Your teacher may have given you formulas and "recipes" to solve
"problems of this type" , and may even have a certain preferred or required homework format. I cook from scratch, and solve problems the same way, without using memorized formulas or procedures, only remembering formulas that I have used too often, and seem obvious to me from the most basic definitions.
(MY) SYMBOL DEFINITIONS:
= term number in the quadratic sequence.
= first-difference number in the quadratic sequence, so that

FOR THIS SEQUENCE
tells us that the second-difference is
throughout the sequence.
The first-differences form an arithmetic sequence
with first term , so
so 
1. For , , , you could just count by 2's to get ,' ,' ,
and then find and ,
the 5th and 6th terms of the quadratic sequence,
maybe doing mental math while tabulating results, like this
---> ---> 
or you could apply the formula for above to get
and .
Either approach allows you to calculate and ,
the 5th and 6th terms of the quadratic sequence.
---> ---> --->
---> ---> --->
2. Determining the nth term means finding a formula for ,
and that is where you will show your algebra skills.
You may want to find .
You could keep working backwards to get ,
maybe without writing the calculations, just by tabulating the results of your mental math work,
,
or maybe writing down calculations,
,
,
,
,
or you could calculate using formulas.
Since the differences form an arithmetic sequence,
we know how to calculate the sum of all the first-differences
that have to be added to get from to term number 


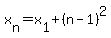
so is an easy to calculate formula that you can use to relate to a generic term number .
So 



.
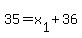
Now, for , we can use the simple formula <--->


|
|
|