SOLUTION: Write a polynomial function of least degree with integral coefficients the zeros of which include -1 and 1 + 2i.

Algebra ->  Polynomials-and-rational-expressions -> SOLUTION: Write a polynomial function of least degree with integral coefficients the zeros of which include -1 and 1 + 2i.      Log On


   



Question 1069924: Write a polynomial function of least degree with integral coefficients the zeros of which include -1 and 1 + 2i.
Answer by KMST(5328) About Me  (Show Source):
You can put this solution on YOUR website!
If your coefficients must be integers (which are real numbers),
the conjugate of every complex zero must also be a zero.
The conjugate of 1%2B2i is 1-2i .
The polynomial in x of least degree whose zeros include
-1 , 1%2B2i , and 1-2i will be
a polynomial of degree 3 which can be written as
P%28x%29=a%2A%28x-%28-1%29%29%2A%28x-%281%2B2i%29%29%2A%28x-%281-2i%29%29 for some real number a%3C%3E0 .
We want to work on that to simplify it and show how we can make the coefficients not only real numbers, but also integers.
P%28x%29=a%2A%28x%2B1%29%2A%28x-1-2i%29%2A%28x-1%2B2i%29
P%28x%29=a%2A%28x%2B1%29%2A%28%28x-1%29-2i%29%2A%28%28x-1%29%2B2i%29
P%28x%29=a%2A%28x%2B1%29%2A%28%28x-1%29%5E2-%282i%29%5E2%29
P%28x%29=a%2A%28x%2B1%29%2A%28%28x%5E2-2x%2B1%29-2%5E2%2A%28i%29%5E2%29
P%28x%29=a%2A%28x%2B1%29%2A%28x%5E2-2x%2B1%2B4%29
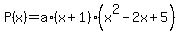
P%28x%29=a%2A%28x%2B1%29%2A%28x%5E2-2x%2B5%29
So far the coefficients in this factored form are
1 , -2 , and 5 , which are integers,
so it looks like we can just use a=1 ,
or any non-zero integer we want for a .
P%28x%29=a%2A%28x%5E3-2x%5E2%2B5x%2Bx%5E2-2x%2B5%29
P%28x%29=a%2A%28x%5E3-x%5E2%2B3x%2B5%29
Since the coefficients of x%5E3-x%5E2%2B3x%2B5
are the integers 1 , -1 , 3 and 5 ,
the simplest such polynomial, with a=1 is
P%5B1%5D%28x%29=highlight%28x%5E3-x%5E2%2B3x%2B5%29 .