Question 1068248: a small college has 1200 students and 80 professors. the college is planning to increase enrollment to 1500 students next year. How many new professors should be hired, assuming they want to maintain the same ratio
Found 2 solutions by ikleyn, MathTherapy: Answer by ikleyn(52835) (Show Source): Answer by MathTherapy(10555) (Show Source):
You can put this solution on YOUR website! a small college has 1200 students and 80 professors. the college is planning to increase enrollment to 1500 students next year. How many new professors should be hired, assuming they want to maintain the same ratio
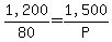
Since there are 1,200 students to 80 professors, we set up the following PROPORTION to determine the number of professors (P) needed for the
1,500 expected enrollees: 
1,200P = 80(1,500) ------- Cross-multiplying
P, or number of professors needed for 1,500 enrollees = 
Since a total of 100 professors are needed for 1,500 enrollees, and 80 are already "on board," then additional number of professors needed =
|
|
|