Question 1020598: Could someone please help me solve a rational inequality using the critical point method? 1/x+2>x+2. I know how to use the critical point method, but I am not sure how to get the problem in the correct form first? I appreciate any help you can give me!
Found 2 solutions by josgarithmetic, MathTherapy: Answer by josgarithmetic(39623) (Show Source): Answer by MathTherapy(10555) (Show Source):
You can put this solution on YOUR website!
Could someone please help me solve a rational inequality using the critical point method? 1/x+2>x+2. I know how to use the critical point method, but I am not sure how to get the problem in the correct form first? I appreciate any help you can give me!
, with 
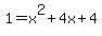
1 = (x + 2)(x + 2) ---- Multiplying each side by LCD, x + 2, and changing INEQUALITY to equality

--------- Subtracting 1 from each side
--------- Reversing sides
(x + 3)(x + 1) = 0
x + 3 = 0 OR x + 1 = 0
x = - 3 OR x = - 1
Thus, the 3 CRITICAL points are: - 2, - 3, and - 1. Arranged in numerical order, this
becomes: - 3, - 2, - 1. From these 3 CRITICAL points, the following 4 intervals have to be tested:
x < - 3, or x = - 4
- 3 < x < - 2, or x = - 2.5
- 2 < x < - 1, or x = - 1.5
x > - 1, or x = 0
When the above intervals are tested, we find that: , are TRUE, and so, these are the solutions.
The other 2 intervals make the INEQUALITY false, so they're not solutions.
|
|
|