Question 1005463: Using the formula h=-1/2gt^2+v(0)t+h(0) (the zero in the parens is lower/small beneath the letter) and g= gravitational constant and v = upward velocity from a starting height of h.
1a. What is the height after three seconds of a penny dropped from the roof of the a tall building about 1250 feet tall?
1b. After how many seconds does the penny hit the ground?
2. What is the height after three seconds of a ball thrown from the roof of a building about 495 feet tall and is tossed upwards with a velocity of 10m/s?
2b. After how many seconds does it hit the ground?
Thanks in advance. I think I have the answers but want to check the work done.
Found 2 solutions by KMST, rothauserc: Answer by KMST(5328) (Show Source):
You can put this solution on YOUR website! is a general formula.
For the first problem we will set:
= time from the moment the penny is dropped (we will measure it in seconds, because it will be a short time),
= height (in feet) at the moment, , when the penny is dropped,
= the initial velocity (in feet/second) of the penny at (since it was "dropped", it was not thrown up or down with any initial velocity).
We will use the acceleration of gravity in , to agree with the other units:
= acceleration of gravity in .
Substituting, we get
--->
1a. For , ,
so the height of the penny after three seconds is .
1b. When the penny hits the ground, . Then,
---> ---> ---> ---> ---> ,
so the penny hits the ground after about .
For the second problem we will set:
= time from the moment the ball is tossed (we will measure it in seconds, because it will be a short time),
= the initial velocity (in meters/second) of the ball at (since it was "dropped", it was not thrown up or down with any initial velocity).
(as I originally misread) = height (in meters) at the moment, , when the ball is tossed,
We will use the acceleration of gravity in , to agree with the other units:
= acceleration of gravity in .
Substituting, we get
--->
2. For ,
--> --> --> ,
so the height of the ball after three seconds is .
2b. When the ball hits the ground, . Then,
.
Solving the quadratic equation we get two solutions, but the negative solution does not make sense, and needs to be discarded.
So, 


,
so the ball hits the ground after about .
it was really meant as = height (in feet),
we have a units mismatch.
We have to get everything in feet, or everything in meters.
Since I am a supporter of the SI system of units, I will convert to meters.
(rounded), so
= height (in meters) at the moment, , when the ball is tossed,
We will use the acceleration of gravity in , to agree with the other units:
= acceleration of gravity in .
Substituting, we get
--->
2. For ,
--> --> --> ,
so the height of the ball after three seconds is .
2b. When the ball hits the ground, . Then,
.
Solving the quadratic equation we get two solutions, but the negative solution does not make sense, and needs to be discarded.
So, 


,
so the ball hits the ground after about .
Answer by rothauserc(4718) (Show Source):
You can put this solution on YOUR website! note when dropping an object from height, the initial velocity vo is 0. G is 16 for this problem, since given values are in feet.
*********************************************************************************
1a) h(3) = -8*3^2 + 0*3 + 1250 = 1178
after 3 seconds, the penny is 1178 feet above the ground
1b) 0 = -8t^2 +1250
t^2 = 156.25 and t = 12.5
after 12.5 seconds, the penny hits the ground
*******************************************************************************
the height of the building is given in feet, so convert vo = 10 m to feet/s, vo = 32.8 feet
2a) h(3) = -8*3^2 + 32.8*3 + 495 = 521.4
after three seconds, the ball is 521.4 feet above the ground.
2b) 0 = -8t^2 + 32.8t + 495
t^2 -4.1t - 61.875 = 0
t^2 -4.1t = 61.875
t^2 -4.1t + 4.2025 = 4.2025 + 61.875
(t - 2.05)^2 = 66.0775
t - 2.05 = 8.128806801 = approx 10.2
in 10.2 seconds the ball hits the ground
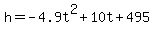
****************************************************************************
here is the graph of 2b
|
|
|