Advanced Graphing
The following text is for those interested in more complex graphing
techniques, and therefore assumes a higher level of understanding of
mathematics. Click here to go back to the easier part of
the lesson.
The point of graphing is to express the essential nature of the
function in a visual form. Where graphing helps is that it gives you
an ability to "see" functions in your head without even touching
paper, if you practice enough. I can do that with most common
functions. What we'll discuss here is determining that essential
nature and translating it into paper.
Determine the domain of the function
While the simplest of functions, such as the linear functions and the
quadratic functions, are defined for all values of x, the more
complicated functions may be defined only with some subregion of the x
axis.
Take, for example, function 1/x: it is not defined for x = 0,
because for x = 0, 1/x would involve division by zero, which
is illegal.
Note: As you can see,
as x approaches zero, the function tends to get bigger and
bigger. In calculus,
they would say that it approaches plus infinity as x approaches
zero from the right.
|
Graph of y = 1/x
|
|
Or, consider function : it is
not defined for x < 0, because square root of a negative value
does not exist. (strictly speaking, the square root of
negative values is a complex number, which you will study
later.)
|
Graph of y =
|
|
So, for any equation, you first need to find all values of x where the
equation has a value. These values are called a
domain of the function. Some hints: if your function
involves a division operation, exclude all values of
x which result in division by zero. If your function involves a square
root or logarithm, exclude all values of x which result in the
argument to square root or to logarithm being negative. This covers
most of the domain restrictions, although there can be many more.
Examples
Function |
Domain |
Graph |
|
The domain is all points where x-1 >= 0, that is, x > 1.
|
|
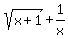
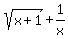
|
The domain is all points where
- the square root of x+1 is defined, that is, x+1 >= 0, that is, x >= -1
- 1/x is defined, that is, x != 0.
This leaves us with the set of all x where x >= -1 and x != 0.
|
|
Again, do not attempt to plot the function where it is not
defined. This is a major mistake.
Determine the special points of the function
The special points of any function include:
- Intersections with the x axis. They are the "roots" of the
equation f(x) = 0. To find them, set f(x) = 0 and solve it as you would
a regular equation.
|

Graph of 2sin(x)
|
Intersection with the Y axis. This is simply the value of
f(x) when x is equal to 0, that is, it is the point (0, f(0)).
|

Graph of 2cos(x)
|
Boundaries of the domain All functions' domains have
boundaries. The boundary is a point that separates points belonging
to the domain from points not belonging to it. A special case of
such boundaries is plus or minus infinity. The +- infinity are not
points in a
regular sense, but it is worth considering how the function behaves
when it approaches infinity.
|

Graph of
|
Maximums and minimums . Collectively called
extremums, these points are the locally highest and lowest
points of the function's graph. In the following graphs, the
maximums and minimums are marked.
|

Graph of 2cos(x)
|
Note that finding points of minumum and maximum would require you to
do some
calculus. If you do not know calculus yet, you
sometimes may succeed by just being creative, so do not give up. For
example, you know that the maximum value for sin(x) is 1, so to find
the maximums you need to find all points where sin(x) = 1. Or, for
parabolas, you know that the horizontal coordinate of the point of
extremum lies exactly between the roots, because parabolas are
symmetrical. Etc etc.
Set up the coordinate system around the special points
The special points are what makes the function interesting. So you
want to make sure that for your coordinates, you have chosen a big
enough area to include at least the best of them. For most functions
you would be able to include all special points (except, obviously,
for infinity). For some functions called periodic, however,
there is an infinite number of special points. A case in point is the
2sin(x) function above: it waves around the x axis endlessly. For such
functions, what you want to do is include a few special points so that
their nature would become evident.
This part of your job is mostly about not dong stupid things. One
of these stupid things would be to set up your coordinates so that the
graph of the function lies wholly outside your drawing.
Plot these special points using circles of X symbols
Shall I say more? :)
Determine slopes and curvatures
Analyze the function and find out where it is sloping upwards, where
it is sloping downwards, where it is concave, and where it is convex.
Sloping upwards 
Sloping downwards 
Concave function 
Convex function
Plot some more points around the special points
After all this work, all you need is to just plot a few more points,
and the curve will emerge all by itself. Just pick a few points with
some reasonable interval, use your calculator, and plot these points.
Draw the line
Draw the line through the points, little by little.