SOLUTION: A farmer wishes to enclose a rectangular region with 143 meters of fencing in such a way that the length is four times the width and that the region is divided along it's length in

Algebra ->  Customizable Word Problem Solvers  -> Unit conversion -> SOLUTION: A farmer wishes to enclose a rectangular region with 143 meters of fencing in such a way that the length is four times the width and that the region is divided along it's length in      Log On

Ad: Over 600 Algebra Word Problems at edhelper.com


   



Question 990475: A farmer wishes to enclose a rectangular region with 143 meters of fencing in such a way that the length is four times the width and that the region is divided along it's length into two equal parts. What is the length and width?
Answer by josgarithmetic(39625) About Me  (Show Source):
You can put this solution on YOUR website!
List all facts.
Total Fencing, 143 meters;
L, length, w width;
L=4w;
Segment sizes forming the rectangular region are L+L+L+w+w, because one of the L is used as a physical divider.

Form Equation.
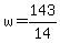
3L%2B2w=143

Substitute for L.
3%284w%29%2B2w=143
14w=143
w=143%2F14
w=10%263%2F14
Possibly strange result because, "divided along its length into two equal parts."

The LENGTH is not really being divided; the division is ALONG the LENGTH, meaning the width is what is being divided.
Really want:
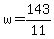
highlight_green%282L%2B3w=143%29
2%284w%29%2B3w=143
11w=143
w=143%2F11
highlight%28w=13%29
and
highlight%28L=54%29