SOLUTION: Jon and Sam live 24 km apart. They agree to meet at a movie theater located directly between their homes. John needs 12 mins and Sam needs 36 mins. If they both travel at an averag

Algebra ->  Customizable Word Problem Solvers  -> Travel -> SOLUTION: Jon and Sam live 24 km apart. They agree to meet at a movie theater located directly between their homes. John needs 12 mins and Sam needs 36 mins. If they both travel at an averag      Log On

Ad: Over 600 Algebra Word Problems at edhelper.com


   



Question 986668: Jon and Sam live 24 km apart. They agree to meet at a movie theater located directly between their homes. John needs 12 mins and Sam needs 36 mins. If they both travel at an average speed, how far do john and sam live from the theater?
Answer by josgarithmetic(39620) About Me  (Show Source):
You can put this solution on YOUR website!
RT=D relates speed, time, and distance.

Their total distance traveled for each to reach the theater is 24 km.
The description does not give enough information to find easily nor know the rate of Sam or Jon. "...both travel at an average speed." Not too specific. Each moves at his own speed.

Jon      j     12/60     j(12/60)
Sam      s     36/60     s(36/60)
TOTAL                     24


At best, you really have %281%2F5%29j%2B%283%2F5%29s=24.

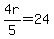
If you want to choose some quantity r for the average of their rates, then you may make r%2F5%2B3s%2F5=24
4r%2F5=24
r=24%2A5%2F4
highlight_green%28r=30%29, and you could use this to find how far is Jon and is Sam from the theater.


"DIRECTLY BETWEEN THEIR HOMES"
They would each travel an equal distance d from home to theater.

Jon       j      12/60     d
Sam       s      36/60     d
Total                      24


This way gives you system%28j%281%2F5%29=d%2Cs%283%2F5%29=d%2C2d=24%29, more like what you might want, for a system.
system%28j%2F5=d%2C3s%2F5=d%2Cd=12%29
and solving the system is not necessary because enough information of where the theater is already given. highlight%28d=12%29 kilometers. Now you could also find each of their speeds.