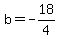
SOLUTION: (6b +18)/b^2 + 1/b = 3/b
Algebra
->
Customizable Word Problem Solvers
->
Travel
-> SOLUTION: (6b +18)/b^2 + 1/b = 3/b
Log On
Ad:
Over 600 Algebra Word Problems at edhelper.com
Word Problems: Travel and Distance
Word
Solvers
Solvers
Lessons
Lessons
Answers archive
Answers
Click here to see ALL problems on Travel Word Problems
Question 986622
:
(6b +18)/b^2 + 1/b = 3/b
Answer by
Fombitz(32388)
(
Show Source
):
You can
put this solution on YOUR website!
Multiply both sides by
.