Question 913338: A boat travels 7 km upstream and 7km back. The time for the round trip is 8 hours. The speed of the stream is 4 km/hr. What is the speed of the boat in still water?
Answer by richwmiller(17219) (Show Source):
You can put this solution on YOUR website! r*t=d
7/(r-4)+7/(r+4)=8/1
Multiply thru by 1*(r-4)(r+4)
7*1(r+4)+7*1(r-4)=8(r^2-16)
7r+28+7r-28=8r^2-128
r^2-14r-128=0
r=12.2321245982865
Solved by pluggable solver: COMPLETING THE SQUARE solver for quadratics |
Read this lesson on completing the square by prince_abubu, if you do not know how to complete the square. Let's convert to standard form by dividing both sides by 2:
We have: .
What we want to do now is to change this equation to a complete square . How can we find out values of somenumber and othernumber that would make it work?
Look at : . Since the coefficient in our equation that goes in front of r is -7, we know that -7=2*somenumber, or . So, we know that our equation can be rewritten as , and we do not yet know the other number.
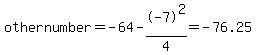
We are almost there. Finding the other number is simply a matter of not making too many mistakes. We need to find 'other number' such that is equivalent to our original equation .

The highlighted red part must be equal to -64 (highlighted green part).
, or .
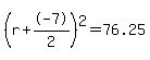
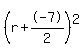
So, the equation converts to , or .
Our equation converted to a square , equated to a number (76.25).
Since the right part 76.25 is greater than zero, there are two solutions:

, or




Answer: r=12.2321245982865, -5.23212459828649.
|
Solved by pluggable solver: SOLVE quadratic equation with variable |
Quadratic equation (in our case ) has the following solutons:

For these solutions to exist, the discriminant should not be a negative number.
First, we need to compute the discriminant : .
Discriminant d=1220 is greater than zero. That means that there are two solutions: .


Quadratic expression can be factored:

Again, the answer is: 12.2321245982865, -5.23212459828649.
Here's your graph:
 |
|
|
|