SOLUTION: a car travelled 25km at speed of xkm\h.if its speed was increased by 5km\h it covers the distance 15minutes earlier what is the original speed of car?

Algebra ->  Customizable Word Problem Solvers  -> Travel -> SOLUTION: a car travelled 25km at speed of xkm\h.if its speed was increased by 5km\h it covers the distance 15minutes earlier what is the original speed of car?      Log On

Ad: Over 600 Algebra Word Problems at edhelper.com


   



Question 890692: a car travelled 25km at speed of xkm\h.if its speed was increased by 5km\h it covers the distance 15minutes earlier what is the original speed of car?
Answer by josgarithmetic(39625) About Me  (Show Source):
You can put this solution on YOUR website!
SEE THE "BETTER" SECTION BELOW!

The time for the trip of d is unknown t in hours.
15 minutes is 1%2F4 hour.

___________________speed________time_______distance
One speed___________x____________t___________d
Other speed_________x+5_________t-(1/4)______d

You cannot completely answer the question because you have three unknown variables and at best, two equations.
A symbolic solution is still possible.

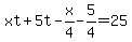
xt=d and %28x%2B5%29%28t-1%2F4%29=d.
xt-x%2F4%2B5t-5%2F4=xt
-x%2F4%2B5t-5%2F4=0


-x%2F4=5%2F4-5t
x=-5%2B20t
highlight%28x=20t-5%29

-----------MISUNDERSTOOD.
I now see, "25 km" so the distance is really known. You can actually solve both for t and for x.

------------BETTER-------------------------
-------------------------------------------
-------------------------------------------

___________________speed________time_______distance
One speed___________x____________t___________25
Other speed_________x+5_________t-(1/4)______25

highlight_green%28xt=25%29 and %28x%2B5%29%28t-1%2F4%29=25.
The second equation------
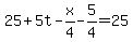
xt%2B5t-x%2F4-5%2F4=25
25%2B5t-x%2F4-5%2F4=25
5t-x%2F4-5%2F4=0
highlight_green%2820t-x-5=0%29
We do not care so much about t, so use the first equation to find how to substitute.
20t=x%2B5
t=%28x%2B5%29%2F20
Substitution,
xt=25
x%28x%2B5%29%2F20=25
x%28x%2B5%29=20%2A25
x%5E2%2B5x=500
highlight%28x%5E2%2B5x-500%29 ----------SOLVE THIS FOR x.