SOLUTION: The distances between villages A and B is 60km. Can three backpackers who are at A get to B in three hours, if they have a motorbike which is able to carry up to two people at a co

Algebra ->  Customizable Word Problem Solvers  -> Travel -> SOLUTION: The distances between villages A and B is 60km. Can three backpackers who are at A get to B in three hours, if they have a motorbike which is able to carry up to two people at a co      Log On

Ad: Over 600 Algebra Word Problems at edhelper.com


   



Question 888128: The distances between villages A and B is 60km. Can three backpackers who are at A get to B in three hours, if they have a motorbike which is able to carry up to two people at a constant speed of 50km/h, and each of the three backpackers can walk at a constant speed of 5km/h?
Answer by josmiceli(19441) About Me  (Show Source):
You can put this solution on YOUR website!
I think the fastest way for all three to get from
A to B is for 2 of them to go by motorbike
while the other 1 is walking, then one of the
two at B turns right around, picks up the walking
backpacker, and takes him to B.
--------------------------------
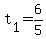
Let +t%5B1%5D+ = time in hrs for two to get from A to B
on the motorbike
+60+=+50%2At%5B1%5D+
+t%5B1%5D+=+6%2F5+ hr
-------------------
During this time, the third backpacker has walked
++d%5B1%5D+=+5%2A%28+6%2F5+%29+
+d%5B1%5D+=+6+ km
-----------------
One of them from B turns around and heads toward
the walker
Let +t%5B2%5D+ = time in hrs for them to meet
Let +d%5B2%5D+ = the distance the motorbike travels
until them meet
+%28+60+-+6+%29+-+d%5B2%5D+=+54+-+d%5B2%5D+ is the distance
the walker travels in that time
---------------------------
Equation for motorbike:
(1) +d%5B2%5D+=+50t%5B2%5D+
Equation for walker:
(2) +54+-+d%5B2%5D+=+5t%5B2%5D+
----------------------
Substitute (1) into (2)
(2) +54+-+50t%5B2%5D+=+5t%5B2%5D+
(2) +55t%5B2%5D+=+54+
(2) +t%5B2%5D+=+54%2F55+ hrs
---------------------
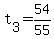
In +54%2F55+ hrs, the walker has traveled
+d%5B3%5D+=+5%2A%28+54%2F55+%29+
+d%5B3%5D+=+54%2F11+ km
------------------
The distance left for both to go on the
motorbike to B is:
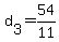
+60+-+6+-+54%2F11+=+54+-+54%2F11+
+594%2F11+-+54%2F11+=+540%2F11+ km
-------------------------------
+540%2F11+=+50%2At%5B3%5D+
+t%5B3%5D+=+540%2F550+ hrs
+t%5B3%5D+=+54%2F55+ hrs
---------------------
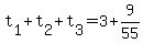
+t%5B1%5D+%2B+t%5B2%5D+%2B+t%5B3%5D+=+6%2F5+%2B+54%2F55+%2B+54%2F55+
+t%5B1%5D+%2B+t%5B2%5D+%2B+t%5B3%5D+=+66%2F55+%2B+108%2F55+
+t%5B1%5D+%2B+t%5B2%5D+%2B+t%5B3%5D+=+174%2F55+
+t%5B1%5D+%2B+t%5B2%5D+%2B+t%5B3%5D+=+3+%2B+9%2F55+
------------------------------
It looks like they can't get from A to B in under 3 hrs
-----------------
check:
+d%5B1%5D+%2B+54+-+d%5B2%5D+%2B+540%2F11+=+60+
+6+%2B+54%2F11+%2B+540%2F11+=+60+
+66%2F11+%2B+594%2F11+=+60+
+660%2F11+=+60+
+60+=+60+
-------------
Hope I got it