Question 828691: Liz and Mary took a canoeing trip, traveling 6 miles upstream along a river, against a 2 mph current. They returned downstream to the starting point of their trip. If the entire trip took 4 hours, what was their rate in still water ?
Found 2 solutions by josgarithmetic, MathTherapy: Answer by josgarithmetic(39620) (Show Source): Answer by MathTherapy(10552) (Show Source):
You can put this solution on YOUR website!
Liz and Mary took a canoeing trip, traveling 6 miles upstream along a river, against a 2 mph current. They returned downstream to the starting point of their trip. If the entire trip took 4 hours, what was their rate in still water ?
Let speed in still water be S
Traveling AGAINST the current, time taken to travel upstream = 
Traveling WITH the current, time taken to travel downstream = 
Since total time taken for the round trip is 4 hours, then:

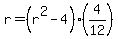
------- Multiplying by LCD, (S - 2)(S + 2)




Solve to obtain S, or speed of boat, in still water, ACCEPTING the POSITIVE solution, while IGNORING the
negative solution.
Then do a check!!
If you need a complete and detailed solution, let me know!!
Send comments, “thank-yous,” and inquiries to “D” at MathMadEzy@aol.com.
Further help is available, online or in-person, for a fee, obviously.
For FREE info and answers to questions about the ASVAB exam, the NYS 3 – 8 city/state wide exams,
GENERAL MATH QUESTIONS, MATH HOMEWORK QUESTIONS, or MATH QUESTIONS related to the Regents Integrated Algebra,
Regents Geometry, Regents Algebra 2/Trigonometry, SHSAT, COOP/HSPT/TACHS, PSAT, SAT, ACT, SSAT/ISEE, GRE, CLEP,
and the GED, you can visit: http://asvabstudyzone.freeforums.net/.
|
|
|