SOLUTION: Could you please help me solve this? (-3/4,-9),(-1/8,5) Find the distance between 2 points.
Algebra
->
Customizable Word Problem Solvers
->
Travel
-> SOLUTION: Could you please help me solve this? (-3/4,-9),(-1/8,5) Find the distance between 2 points.
Log On
Ad:
Over 600 Algebra Word Problems at edhelper.com
Word Problems: Travel and Distance
Word
Solvers
Solvers
Lessons
Lessons
Answers archive
Answers
Click here to see ALL problems on Travel Word Problems
Question 767773
:
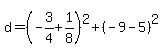
Could you please help me solve this? (-3/4,-9),(-1/8,5) Find the distance between 2 points.
Answer by
Alan3354(69443)
(
Show Source
):
You can
put this solution on YOUR website!
Could you please help me solve this? (-3/4,-9),(-1/8,5) Find the distance between 2 points.
----------------
Just arithmetic
---
Notice it's the Pythagorean Theorem. diffy & diffx make a right triangle.