SOLUTION: I need help on this calculus word problem:
Two ants are at a common point at time t=0, the first ant starts crawling along a straight line at the rate of 4 ft/min. Two minutes l
Algebra ->
Customizable Word Problem Solvers
-> Travel
-> SOLUTION: I need help on this calculus word problem:
Two ants are at a common point at time t=0, the first ant starts crawling along a straight line at the rate of 4 ft/min. Two minutes l
Log On
Question 682777: I need help on this calculus word problem:
Two ants are at a common point at time t=0, the first ant starts crawling along a straight line at the rate of 4 ft/min. Two minutes later, the second ant starts crawling in a direction perpendicular to that of the first, at a rate of 5 ft/min. How fast is the distance between them changing when the first insect has traveled 12 feet?
Thank you! Answer by funmath(2933) (Show Source):
You can put this solution on YOUR website! Two ants are at a common point at time t=0, the first ant starts crawling along a straight line at the rate of 4 ft/min. Two minutes later, the second ant starts crawling in a direction perpendicular to that of the first, at a rate of 5 ft/min. How fast is the distance between them changing when the first insect has traveled 12 feet?
Let r be the distance between them, x be the distance of the first and y be the distance of the second. Then according to the Pythagorean theorem:
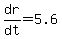
Taking the derivative of the equation with respect to time yields:
Everything is divisible by 2 so divide the whole thing by 2 to make things easier.
Now use a little algebra to find the missing components.
Given: the rate of the first ant the rate of the second ant the distance the first ant traveled.
distance = rate*time
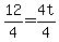
We get t from the first ant.
Therefore the second ant traveled.
We use the Pythagorean Theorem to find r
Take all the parts and put them into the equation you took the derivative of. ft/min
That should be it barring any careless mistakes. Happy Calculating!