SOLUTION: The problem is: Michael drove to a friend's house at a rate of 40mi/h. He returned by the same route at a rate of 45mi/h. the driving time for the round trip was 4 h. What was the

Algebra ->  Customizable Word Problem Solvers  -> Travel -> SOLUTION: The problem is: Michael drove to a friend's house at a rate of 40mi/h. He returned by the same route at a rate of 45mi/h. the driving time for the round trip was 4 h. What was the       Log On

Ad: Over 600 Algebra Word Problems at edhelper.com


   



Question 50067: The problem is: Michael drove to a friend's house at a rate of 40mi/h. He returned by the same route at a rate of 45mi/h. the driving time for the round trip was 4 h. What was the distance Michael traveled?
I know the answer is about 170 miles because (45+40)/2 is 42.5 times 4 is 170. But how do you set up an algebraic equation to solve?

Answer by Paul(988) About Me  (Show Source):
You can put this solution on YOUR website!
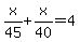
Let x be the distance
x%2F45%2Bx%2F40=4 because time = distance/speed
45*40=1800
1800%28x%2F45%29%2B1800%28x%2F40%29=1800%2840%2F1%29
40x+45x=7200
85x=7200
x=84.7
the answer is not 170
Paul.