SOLUTION: how fast in km/h would i need to run to cover 2.4 km in 11 minutes?
Algebra
->
Customizable Word Problem Solvers
->
Travel
-> SOLUTION: how fast in km/h would i need to run to cover 2.4 km in 11 minutes?
Log On
Ad:
Over 600 Algebra Word Problems at edhelper.com
Word Problems: Travel and Distance
Word
Solvers
Solvers
Lessons
Lessons
Answers archive
Answers
Click here to see ALL problems on Travel Word Problems
Question 484768
:
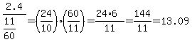
how fast in km/h would i need to run to cover 2.4 km in 11 minutes?
Answer by
Tatiana_Stebko(1539)
(
Show Source
):
You can
put this solution on YOUR website!
11 minutes is
hour
The speed is
km/h