SOLUTION: Ms. Driva Reck drove from her home to a service station at 48 km/h. She returned home by bicycle at 16 km/h. The entire trip took 4 hours. How far was the service station from Ms.

Algebra ->  Customizable Word Problem Solvers  -> Travel -> SOLUTION: Ms. Driva Reck drove from her home to a service station at 48 km/h. She returned home by bicycle at 16 km/h. The entire trip took 4 hours. How far was the service station from Ms.       Log On

Ad: Over 600 Algebra Word Problems at edhelper.com


   



Question 432926: Ms. Driva Reck drove from her home to a service station at 48 km/h. She returned home by bicycle at 16 km/h. The entire trip took 4 hours. How far was the service station from Ms. Reck's home?
Answer by robertb(5830) About Me  (Show Source):
You can put this solution on YOUR website!
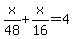
From the formula D = RT, we get T = D/R, so that
letting x = distance from her home to the service station, we get
x%2F48+%2B+x%2F16+=+4
x%2F48+%2B+%283x%29%2F48+=+4
%284x%29%2F48+=+4
x = 48 kilometers.