SOLUTION: if a taxi charge 50 cent for the frist 1/5 mile and 20 cents for each addititional 1/10 mile how much will the fare cost

Algebra ->  Customizable Word Problem Solvers  -> Travel -> SOLUTION: if a taxi charge 50 cent for the frist 1/5 mile and 20 cents for each addititional 1/10 mile how much will the fare cost      Log On

Ad: Over 600 Algebra Word Problems at edhelper.com


   



Question 368044: if a taxi charge 50 cent for the frist 1/5 mile and 20 cents for each addititional 1/10 mile how much will the fare cost
Answer by robertb(5830) About Me  (Show Source):
You can put this solution on YOUR website!
Let x = total # of miles travelled.
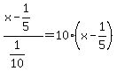
Then for the the first 1/5 mile, the cost is $0.50. For the remaining x-1/5 miles, there are %28x-1%2F5%29%2F%281%2F10%29+=+10%28x-1%2F5%29 one-tenths of a mile. So the cost for the remaining x - 1/5 miles is 0.20%2A10%2A%28x-1%2F5%29+=+2x-0.4dollars. Thus the total fare is $0.50 + $(2x-0.40) = $(2x + 0.10).