SOLUTION: On a 2 mile racetrack you bike the first mile at 10 mph. At what rate must you bike the second mile in order to average 20mph for the entire track? I am not sure what formula to

Algebra ->  Customizable Word Problem Solvers  -> Travel -> SOLUTION: On a 2 mile racetrack you bike the first mile at 10 mph. At what rate must you bike the second mile in order to average 20mph for the entire track? I am not sure what formula to      Log On

Ad: Over 600 Algebra Word Problems at edhelper.com


   



Question 346237: On a 2 mile racetrack you bike the first mile at 10 mph. At what rate must you bike the second mile in order to average 20mph for the entire track?
I am not sure what formula to use and the average has me confused.

Found 2 solutions by vleith, Fombitz:
Answer by vleith(2983) About Me  (Show Source):
You can put this solution on YOUR website!
Let's see how long it takes to go 2 miles at 20mph
Distance+=+Veloticy+%2A+Time
Distance%2FVelocity+=+Time
2%2F20+=+0.1 hours. So you would take 6 minutes to cover 2 miles at 20 mph
Now, how long did you take to go 1 mile at 10 mph
Distance%2FVelocity+=+Time
1%2F10+=+0.1 hours . You used all 6 minutes on the first mile
Basically, you need to cover the next mile in no time at all.
So, either you go infinitely fast or it can't be done.
Since we can't go that fast, you cannot average 20 mph

Answer by Fombitz(32388) About Me  (Show Source):
You can put this solution on YOUR website!
Rate*Time=Distance
.
.
.
Average speed equals total distance divided by total time.
.
.
For the first mile,
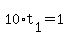
10%2At%5B1%5D=1
t%5B1%5D=1%2F10
For the second mile,
R%2At%5B2%5D=1
t%5B2%5D=1%2FR
The total distance is 2 miles.
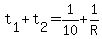
The total time is t%5B1%5D%2Bt%5B2%5D=1%2F10%2B1%2FR
.
.
.
2%2F%281%2F10%2B1%2FR%29=20
2=20%281%2F10%2B1%2FR%29
2=20%2F10%2B1%2FR
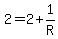
2=2%2B1%2FR
1%2FR=0
There is no solution.
You cannot go fast enough to average 20 mph.
20 mph for a 2 mile track requires 1/10 hr.
You already used that 1/10 hr for your first lap.