SOLUTION: An airplane flying at 450 miles/hr due south experiences a westerly wind of 75 miles/hr. What is the actual velocity?

Algebra ->  Customizable Word Problem Solvers  -> Travel -> SOLUTION: An airplane flying at 450 miles/hr due south experiences a westerly wind of 75 miles/hr. What is the actual velocity?      Log On

Ad: Over 600 Algebra Word Problems at edhelper.com


   



Question 345703: An airplane flying at 450 miles/hr due south experiences a westerly wind of 75 miles/hr. What is the actual velocity?
Answer by Fombitz(32388) About Me  (Show Source):
You can put this solution on YOUR website!
Let North be positive y, East be positive x.
The plane is traveling (0,-450).
The wind is blowing (-75,0).
The actual plane velocity is,
(0,-450)+(-75,0)=(-75,-450)
.
.
.
abs%28V%29=sqrt%2875%5E2%2B450%5E2%29
abs%28V%29=sqrt%285625%2B202500%29
abs%28V%29=sqrt%28208125%29
abs%28V%29=456mph
.
.
.
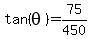
tan%28theta%29=75%2F450
theta=9.5degrees West of South.