SOLUTION: sammy owns a motor boat that travels 4 miles/hour in still water. It goes 12 miles upstream and 12 miles back again (downstream) in a total of 8 hours. Find the speed of the curren

Algebra ->  Customizable Word Problem Solvers  -> Travel -> SOLUTION: sammy owns a motor boat that travels 4 miles/hour in still water. It goes 12 miles upstream and 12 miles back again (downstream) in a total of 8 hours. Find the speed of the curren      Log On

Ad: Over 600 Algebra Word Problems at edhelper.com


   



Question 326281: sammy owns a motor boat that travels 4 miles/hour in still water. It goes 12 miles upstream and 12 miles back again (downstream) in a total of 8 hours. Find the speed of the current of the river.
Answer by mananth(16946) About Me  (Show Source):
You can put this solution on YOUR website!
still water speed = 4mph
let speed of current be xmph
..
upstream speed = x-4 mph
distance traveled = 12 miles
time taken = 12/x-4
..
down stream speed = x+4 mph
distance traveled = 12 miles
time taken = x+4 /12 ..
time upstream + time down stream = total time up and down
..
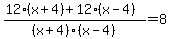
12%2F%28x-4%29%2B12%2F%28x%2B4%29=8
LCM of left side = (x+4)(x-4)
%2812%28x%2B4%29%2B12%28x-4%29%29%2F%28x%2B4%29%28x-4%29=8
12x%2B48%2B12x-48=8%28x%5E2-4%29
24x=8x%5E2-32
Add-24x to both sides
8x%5E2-24x-32=0
8%28x%5E2-3x-4%29=0
x%5E2-3x-4=0
%28x-4%29%28x%2B1%29=0
x=4 Or -1
ignore -1
speed of current = 4 mph