SOLUTION: Is this solvable? A car travels with uniform speed. If it would have traveled 10 km/h faster, it would reach the destination 2 hours earlier and if it would have traveled 10km/h

Algebra ->  Customizable Word Problem Solvers  -> Travel -> SOLUTION: Is this solvable? A car travels with uniform speed. If it would have traveled 10 km/h faster, it would reach the destination 2 hours earlier and if it would have traveled 10km/h      Log On

Ad: Over 600 Algebra Word Problems at edhelper.com


   



Question 305491: Is this solvable?
A car travels with uniform speed. If it would have traveled 10 km/h faster, it would reach the destination 2 hours earlier and if it would have traveled 10km/h slower, it would reach the destination 3 hours later. What is the distance covered by car.

Found 2 solutions by stanbon, JBarnum:
Answer by stanbon(75887) About Me  (Show Source):
You can put this solution on YOUR website!
A car travels with uniform speed. If it would have traveled 10 km/h faster, it would reach the destination 2 hours earlier and if it would have traveled 10km/h slower, it would reach the destination 3 hours later. What is the distance covered by car.
-----------------
Uniform speed DATA:
rate = r mph ; time = h hours ; distance = rh miles
---------------------
Slower speed DATA:
rate = r-10 mph ; time = h+3 hrs ; distance = (r-10)(h+3) miles
----------------
Faster speed DATA:
rate = r+10 mph ; time = h-2 hrs ; distance = (r+10)(h-2) miles
------------------------
Equations:
(r-10)(h+3) = rh
(r+10)(h-2) = rh
-------
rh +3r - 10h - 30 = rh
rh -2r + 10h - 20 = rh
---------------------------
3r - 10h = 30
-2r+ 10h = 20
---------------------------
Add to get: r = 50 mph
----
Slower speed = r-10 = 40 mph
Faster speed = r+10 = 60 mph
===================================
Cheers,
Stan H.

Answer by JBarnum(2146) About Me  (Show Source):
You can put this solution on YOUR website!
{{S=D/T}}}
S%2B10=D%2F%28T-2%29
S-10=D%2F%28T%2B3%29
____
ST%2B10T-2S-20=D
ST-10T%2B3S-30=D subtract equations
0%2B20T-5S%2B10=0solve for S
-5S=-20T-10
S=4T%2B2
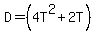
D=ST
D=T%284T%2B2%29%29
D=%284T%5E2%2B2T%29%29
S=D%2FT
S=%282T%28T-1%29%29%2FT
S=2%28T-1%29
_____
S%2B10=D%2F%28T-2%29
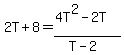
2T-2%2B10=%284T%5E2-2T%29%2F%28T-2%29
2T%2B8=%284T%5E2-2T%29%2F%28T-2%29
2%28T%2B4%29%28T-2%29=2%282T%5E2-T%29
2T%5E2%2B4T-16%29=4T%5E2-2T%29
0=2T%5E2-6T%2B16
0=2%28T%5E2-3T%2B8%29
i cant seem to find the answer unless you go into imaginary numbers
Solved by pluggable solver: SOLVE quadratic equation with variable
Quadratic equation aT%5E2%2BbT%2Bc=0 (in our case 1T%5E2%2B-3T%2B8+=+0) has the following solutons:

T%5B12%5D+=+%28b%2B-sqrt%28+b%5E2-4ac+%29%29%2F2%5Ca

For these solutions to exist, the discriminant b%5E2-4ac should not be a negative number.

First, we need to compute the discriminant b%5E2-4ac: b%5E2-4ac=%28-3%29%5E2-4%2A1%2A8=-23.

The discriminant -23 is less than zero. That means that there are no solutions among real numbers.

If you are a student of advanced school algebra and are aware about imaginary numbers, read on.


In the field of imaginary numbers, the square root of -23 is + or - sqrt%28+23%29+=+4.79583152331272.

The solution is

Here's your graph:
graph%28+500%2C+500%2C+-10%2C+10%2C+-20%2C+20%2C+1%2Ax%5E2%2B-3%2Ax%2B8+%29

or i messed up somewhere, this sure is a hard problem. good luck