SOLUTION: As part of an exercise regiment, you walk 2 miles on an indoor track. Then you jog at twice your walking speed for another 2 miles. If the total time spent walking and jogging is
Algebra ->
Customizable Word Problem Solvers
-> Travel
-> SOLUTION: As part of an exercise regiment, you walk 2 miles on an indoor track. Then you jog at twice your walking speed for another 2 miles. If the total time spent walking and jogging is
Log On
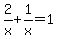
Question 22899: As part of an exercise regiment, you walk 2 miles on an indoor track. Then you jog at twice your walking speed for another 2 miles. If the total time spent walking and jogging is 1 hour, find the walking and jogging rates.
I made a table d r t
walking 2mi x 40mi
running 2mi 2x 20mi
but I cannot make it come out right. Answer by rapaljer(4671) (Show Source):