SOLUTION: One lawn care woker can mow 3 lawns in 60 min. and another can mow 5 lawns in 75 min. How long will it take them to mow 7 lawns together?

Algebra ->  Customizable Word Problem Solvers  -> Travel -> SOLUTION: One lawn care woker can mow 3 lawns in 60 min. and another can mow 5 lawns in 75 min. How long will it take them to mow 7 lawns together?      Log On

Ad: Over 600 Algebra Word Problems at edhelper.com


   



Question 219900: One lawn care woker can mow 3 lawns in 60 min. and another can mow 5 lawns in 75 min. How long will it take them to mow 7 lawns together?
Found 2 solutions by stanbon, josmiceli:
Answer by stanbon(75887) About Me  (Show Source):
You can put this solution on YOUR website!
One lawn care woker can mow 3 lawns in 60 min. and another can mow 5 lawns in 75 min. How long will it take them to mow 7 lawns together?
---------
Let "the job" be 1 lawn mowed
Our Man DATA:
time = 20 min/job ; rate = 1/20 job/min
-------------------------------------------
Other Man DATA:
time = 15 min/job ; rate = 1/15 job/min
--------------------------------------------
Together DATA:
time = x min/job ; rate = 1/x job/min
---------------------------------------
Equation:
rate + rate = together rate
1/20 + 1/15 = 1/x
Multiply thru by 60x to get:
3x + 4x = 60
7x = 60
x = 60/7 minutes (time for both working together to mow one lawn)
------------------------
Time to mow 7 lawns = 7(60/7) = 60 minutes or one hour
==============================================================
Cheers,
Stan H.

Answer by josmiceli(19441) About Me  (Show Source):
You can put this solution on YOUR website!
This is a rate problem
In general:
(1st worker's rate) + (2nd worker's rate) = (rate working together)
given:
1st worker's rate = 3%2F60+=+1%2F20 lawns/min
2nd worker's rate = 5%2F75+=+1%2F15 lawns/min
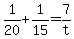
1%2F20+%2B+1%2F15+=+7%2Ft
Multiply both sides by 60t
3t+%2B+4t+=+420
7t+=+420
t+=+60 min
It takes them 1 hr to mow 7 lawns working together