SOLUTION: Raffaele ran 8 miles and then walked 6 miles. If he ran 5 mph faster than he walked and the total time was 2 hours, then how fast did he walk?
You can put this solution on YOUR website! For the 8 miles running:
For the 6 miles walking:
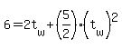
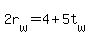
given:
---------------------
and
therefore
substituting:
solve using quadratic formula hrs hrs
His rate walking was 5 mi/hr
check answer:
OK
You can put this solution on YOUR website!
Raffaele ran 8 miles and then walked 6 miles. If he ran 5 mph faster than he walked and the total time was 2 hours, then how fast did he walk?
Let Raffaele's walking rate of speed be S
Then his running rate of speed is S + 5 (he ran 5 mph faster than he walked)
Since he ran 8 miles, walked 6 miles, and did them in 2 hours, then
8(S) + 6(S + 5) = 2(S)(S + 5) [Multiplying equation by LCD, S(S + 5)]
Eliminate 2 = 0, as
(S - 5)(S + 3) = 0
S = 5, or - 3 (Eliminate S = -3, as rate of speed CANNOT be negative)