Let the speed of the boat be x mph
let the speed of the current be y mph
Then while going downstream,
distance downstream=16miles
speed=(x+y) [since the current helps the boat]
time taken=d/s=16/(x+y).......[1]
while going upstream,
distance upstream=4 miles
speed=(x-y) [since the current is in the opposite direction of the boat]
time taken=d/s=4/(x-y).........[2]
Now we have been told that the total time taken is 48 minutes
48 minutes means : (48/60)hour=(4/5)hour
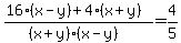
Add up both the times we got (equations 1 and 2)




Now we have been told in the question that the speed of the current (y) is 15 mph
So we get,


opening the brackets



now '-180' cancels off



which can be written as

cancelling out the x we get,


And so we get the top speed of the boat(x) = 25 mph
Hope this helps,
Prabhat