SOLUTION: During the first part of a canoe trip, covered 81 miles at a certain speed. He then traveled 18 mile at a speed that was 5 slower. If the total time for the canoe trip was 5 hr, wh

Algebra ->  Customizable Word Problem Solvers  -> Travel -> SOLUTION: During the first part of a canoe trip, covered 81 miles at a certain speed. He then traveled 18 mile at a speed that was 5 slower. If the total time for the canoe trip was 5 hr, wh      Log On

Ad: Over 600 Algebra Word Problems at edhelper.com


   



Question 159072: During the first part of a canoe trip, covered 81 miles at a certain speed. He then traveled 18 mile at a speed that was 5 slower. If the total time for the canoe trip was 5 hr, what was his speed on each part of the trip?
Answer by josmiceli(19441) About Me  (Show Source):
You can put this solution on YOUR website!
For each part of the trip,
d%5B1%5D+=+r%5B1%5D%2At%5B1%5D and,
d%5B2%5D+=+r%5B2%5D%2At%5B2%5D
given:
d%5B1%5D+=+81mi
d%5B2%5D+=+18mi
r%5B2%5D+=+r%5B1%5D+-+5 mi/hr
t%5B1%5D+%2B+t%5B2%5D+=+5 hr
t%5B2%5D+=+5+-+t%5B1%5Dhr
------------------
d%5B1%5D+=+r%5B1%5D%2At%5B1%5D
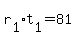
81+=+r%5B1%5D%2At%5B1%5D
(1)r%5B1%5D+=+81%2Ft%5B1%5D
18+=+r%5B2%5D%2At%5B2%5D
18+=+%28r%5B1%5D+-+5%29%2A%285+-+t%5B1%5D%29
18+=+5r%5B1%5D+-+25+-+r%5B1%5D%2At%5B1%5D+%2B+5t%5B1%5D
------------------
note that r%5B1%5D%2At%5B1%5D+=+81, so
18+=+5r%5B1%5D+-+25+-+81+%2B+5t%5B1%5D
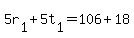
5r%5B1%5D+%2B+5t%5B1%5D+=+106+%2B+18
5r%5B1%5D+%2B+5t%5B1%5D+=+124
Substituting from (1) above,
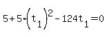
5%2A%2881%2Ft%5B1%5D%29+%2B+5t%5B1%5D+-+124+=+0
multiply both sides by t%5B1%5D
5+%2B+5%2A%28t%5B1%5D%29%5E2+-+124t%5B1%5D+=+0
rearranging,
5%28t%5B1%5D%29%5E2+-+124t%5B1%5D+%2B+5+=+0
Solve this using the quadratic equation to find t%5B1%5D
Then use that to find r%5B1%5D and r%5B2%5D