SOLUTION: I am looking for help on this textbook example: Every morning, Yong Yi runs 5 miles, then walks one mile. He runs 6 mph faster than he walks. If his total time yesterday was 45 m

Algebra ->  Customizable Word Problem Solvers  -> Travel -> SOLUTION: I am looking for help on this textbook example: Every morning, Yong Yi runs 5 miles, then walks one mile. He runs 6 mph faster than he walks. If his total time yesterday was 45 m      Log On

Ad: Over 600 Algebra Word Problems at edhelper.com


   



Question 134451: I am looking for help on this textbook example:
Every morning, Yong Yi runs 5 miles, then walks one mile. He runs 6 mph faster than he walks. If his total time yesterday was 45 minutes, the how fast did he run?

Found 2 solutions by vleith, josmiceli:
Answer by vleith(2983) About Me  (Show Source):
You can put this solution on YOUR website!
Let x = speed walking
Speed running = (x+6)
Time = distance/speed
time = timeRunning + timeWalking
time+=+%285%2F%28x%2B6%29%29+%2B++1%2Fx+
time+=+%285x%2B+x%2B6%29%2F%28x%28x%2B6%29%29+
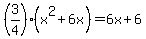
%283%2F4%29%28x%5E2+%2B+6x%29+=+6x+%2B+6+
3x%5E2+%2B+18x+=+24x+%2B+24
3x%5E2+-6x+-+24+=+0+
%283x+%2B+6%29%28x-4%29+=+0+
x = -2, x = 4
since he can't walk at -2, walking speed must be 4mph
The running is 10mph
Check your answer. He will run 30 minutes at 10mph to cover 5 miles. He will walk 1 mile in 15 minutes. total 6 miles in 45 minutes. Check!

Answer by josmiceli(19441) About Me  (Show Source):
You can put this solution on YOUR website!
Let wmi/hr = speed walking
Then w+%2B+6 = speed running
His total time for running and walking
was 45 min or 3/4 hr
He ran 5 mi
He walked 1 mi
In words:
(distance he ran/speed running) + (distance he walked/speed walking) =
(total time)
5+%2F+%28w+%2B+6%29+%2B+1+%2F+w+=+3%2F4
multiply both sides by w%2A%28w+%2B+6%29
5w+%2B+w+%2B+6+=+%283%2F4%29%2Aw%2A%28w+%2B+6%29
Multiply both sides by 4
24w+%2B+24+=+3%2A%28w%5E2+%2B+6w%29
Divide both sides by 3
8w+%2B+8+=+w%5E2+%2B+6w
w%5E2+-+2w+-+8+=+0
%28w+-+4%29%28w+%2B+2%29+=+0
w+=+4
w+=+-2 This answer makes no sense in this problem
w+%2B+6 = speed running
4+%2B+6+=+10
His speed running was 10 mi/hr
check answer:
5+%2F+%28w+%2B+6%29+%2B+1+%2F+w+=+3%2F4
5+%2F+%284+%2B+6%29+%2B+1+%2F+4+=+3%2F4
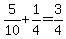
5%2F10+%2B+1%2F4+=+3%2F4
2%2F4+%2B+1%2F4+=+3%2F4
OK