SOLUTION: A motorcycle and a car leave an intersection at the same time. The motorcycle heads north at an average speed of 20 miles per hour, while the car heads east at an average speed of
Algebra ->
Customizable Word Problem Solvers
-> Travel
-> SOLUTION: A motorcycle and a car leave an intersection at the same time. The motorcycle heads north at an average speed of 20 miles per hour, while the car heads east at an average speed of
Log On
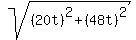
Question 133954: A motorcycle and a car leave an intersection at the same time. The motorcycle heads north at an average speed of 20 miles per hour, while the car heads east at an average speed of 48 miles per hour. Find an expression for their distance apart in miles at the end of t hours.
You can put this solution on YOUR website! A motorcycle and a car leave an intersection at the same time. The motorcycle heads north at an average speed of 20 miles per hour, while the car heads east at an average speed of 48 miles per hour. Find an expression for their distance apart in miles at the end of t hours.
:
Distance traveled by motorcycle = 20t
Distance traveled by car = 48t
:
The distanced between them is found by finding the hypotenuse of a right triangle
:
d =