Question 129394: My homework problem:
If increase the average speed of a 189 mile trip by 12mph will make the same trip one hour shorter.What is the original average speed?
I think I have 2 equations:
1) vt=189mph
2) v+12mph = 189mph/ (t-1h)
How do I solve for V? I tried substitution of 1) into 2) but got confused in how to solve for v in the next step. Thanks for your help. Jp
Answer by Fombitz(32388) (Show Source):
You can put this solution on YOUR website! Rate times time equals distance.
Your two equations are correct but watch the units.
It's 189 miles, not mph.
1. 
2.
To solve you use one of the equations to get an expression for one of the variables in terms of the other and then substitute.
From 1,


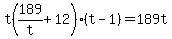
Now substitute this value into 2,
Multiply both sides by t.
Use the FOIL method for the left hand side,




You can factor this equation into,

There are two solutions,
The first solution is,


The second solution is,


For your equation, t represents time.
A negative time does not make sense in this application.
You would use the positive answer for your solution.

Check your answer.
1. 


2.



Your answer leads to a true statement, it's a good answer.
The original average speed is 42 mph.
|
|
|