SOLUTION: A person can drive from town A to town B at a certain rate of speed in 6 hours. If he increases his speed by 20kph he can make the trip in four hours. How far is it from town A to

Algebra ->  Customizable Word Problem Solvers  -> Travel -> SOLUTION: A person can drive from town A to town B at a certain rate of speed in 6 hours. If he increases his speed by 20kph he can make the trip in four hours. How far is it from town A to       Log On

Ad: Over 600 Algebra Word Problems at edhelper.com


   



Question 124538This question is from textbook
: A person can drive from town A to town B at a certain rate of speed in 6 hours. If he increases his speed by 20kph he can make the trip in four hours. How far is it from town A to B. This question is from textbook

Answer by Earlsdon(6294) About Me  (Show Source):
You can put this solution on YOUR website!
Use the distance formula on this problem:
d+=+rt where:d = distance, r = rate(speed) and t = time of travel.
For the first trip:
t%5B1%5D+=+6 and we don't know r%5B1%5D
For the second trip:
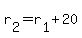
t%5B2%5D+=+4 and r%5B2%5D+=+r%5B1%5D%2B20
and, of course, d is the same in both cases.
So, we can write:
1) d+=+6r%5B1%5D and...
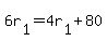
2) d+=+4%28r%5B1%5D%2B20%29 setting these two equal to each other and simplifying...
6r%5B1%5D+=+4r%5B1%5D%2B80 Subtract 4r%5B1%5D from both sides.
2r%5B1%5D+=+80 Divide both sides by 2.
r%5B1%5D+=+40 Now we can find the distance, d.
d+=+r%5B1%5Dt%5B1%5D Substitute r%5B1%5D+=+40andt%5B1%5D+=+6
d+=+40%2A6
d+=+240km.
Check: Substitute r%5B2%5D+=+r%5B1%5D%2B20 and t%5B2%5D+=+4
d+=+r%5B2%5Dt%5B2%5D
d+=+%2840%2B20%29%2A4
d+=+60%2A4
d+=+240km.
The distance from town A to town B is 240 km.