SOLUTION:  A boat takes 12 hours to cover (D+30) km in upstream and it takes 8 hours to cover D km in downstream. If speed of stream is 4 km/hr, then find the time (in hours) taken by b

Algebra ->  Customizable Word Problem Solvers  -> Travel -> SOLUTION:  A boat takes 12 hours to cover (D+30) km in upstream and it takes 8 hours to cover D km in downstream. If speed of stream is 4 km/hr, then find the time (in hours) taken by b      Log On

Ad: Over 600 Algebra Word Problems at edhelper.com


   



Question 1201539: 
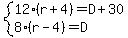
A boat takes 12 hours to cover (D+30) km in upstream and it takes 8 hours to cover D km in downstream. If speed of stream is 4
km/hr, then find the time (in hours) taken by boat to cover (D-64) km in upstream.

Found 4 solutions by Theo, mananth, greenestamps, josgarithmetic:
Answer by Theo(13342) About Me  (Show Source):
You can put this solution on YOUR website!
upstreatm, the boat is traveling against the current.
downstream, the boat is traveling with the current.

your equations are:

12 * (R - 4) = D + 30
8 * (R + 4) = D
simplify to get:
12 * R - 48 = D + 30
8 * R + 32 = D
subtract 30 from both sides of the first equqtion and leave the second equation as is to get:
12 * R - 78 = D
8 * R + 32 = D
since both equation are equal to D, you can set them equal to each other to get:
12 * R - 78 = 8 * R + 32
add 78 to both sides of the equation and subtract 8 * R from both sides of the equastion to get:
4 * R = 110
solve for R to get:
R = 110 / 4 = 27.5
replace R with that in your two original equations to get:
12 * R - 78 = D becomes 12 * 27.5 - 78 = 252
8 * R + 32 = D becomes 8 * 27.5 + 32 = 252
it appears that R = 27.5 is good and that D = 252 is also good.
you are asked to find how long it takes the boat to travel D - 64 kilometers upstream.
upstream, the boat is traveling against the current, therefore (R - 4) * T = D - 64
since R is 27.5 and D is 252, the equation becomes 23.5 * T = 188.
solve for T to get:
T = 188 / 23.5 = 8
it takes the boat 8 hours to travel 188 kilometers upstream.
that's your solution.

Answer by mananth(16946) About Me  (Show Source):
You can put this solution on YOUR website!

A boat takes 12 hours to cover (D+30) km in upstream
upstream speed = (d+30)/12
and it takes 8 hours to cover D km in downstream.
downstream speed = d/8
stream speed = 4 km / h
downstream speed - upstream speed = 8 (2*4)
d/8 - (d+30)/12 =8
3d/24 - 2(d+30)/24 =8

(3d-2d-60)/24 =8
d-60 = 192
d= 252
Upstream speed = (252+30)/12 =23.5 km/h
d-64 = 252-64 = 188
188/23.5 = 8 hours to cover (D-64) km







Answer by greenestamps(13203) About Me  (Show Source):
You can put this solution on YOUR website!


Let x be the speed of the boat in still water in km/hr. Then a single equation to set up the problem says that the distance covered in 12 hours at a speed of (x-4) km/hr is 30 km more than the distance covered in 8 hours at a speed of (x+4) km/hr:

12%28x-4%29=8%28x%2B4%29%2B30
12x-48=8x%2B62
4x=110
x=27.5

The boat speed in still water is 27.5 km/hr

The distance D is the distance covered in 8 hours at a rate of (x+4) km/hr: D = 8(31.5) = 252

The time required to cover a distance of D-64 = 188 km at a rate of (x-4) = 23.5km/hr is

188%2F23.5=376%2F47=8

ANSWER: 8 hours


Answer by josgarithmetic(39620) About Me  (Show Source):
You can put this solution on YOUR website!
                   SPEED          TIME        DIST.

UPSTR              r+4             12         D+30

DOWNSTR            r-4              8          D

One of the distances is unknown, and the speed of boat without a current is unknown.

system%2812%28r%2B4%29=D%2B30%2C8%28r-4%29=D%29