SOLUTION: Hi- Thanks in advance for any help with this problem. Dexter rode his bike from school a to b at 18 miles per hour and then rode from school b to c at 10 miles per hour. This

Algebra ->  Customizable Word Problem Solvers  -> Travel -> SOLUTION: Hi- Thanks in advance for any help with this problem. Dexter rode his bike from school a to b at 18 miles per hour and then rode from school b to c at 10 miles per hour. This      Log On

Ad: Over 600 Algebra Word Problems at edhelper.com


   



Question 11852: Hi- Thanks in advance for any help with this problem.
Dexter rode his bike from school a to b at 18 miles per hour and then rode from school b to c at 10 miles per hour. This took a total of 8 hours. The distance from b to c is 20 more miles than the distance from a-b. How long did each part of the trip take?

Answer by rapaljer(4671) About Me  (Show Source):
You can put this solution on YOUR website!
Let x = distance from a to b
x+20 = distance from b to c
18 mph = rate from a to b
10 mph = rate from b to c

Time+=+%28Distance%29%2F%28Rate%29

Total time = t%5B1%5D+%2B+t%5B2%5D+=+8
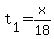
t%5B1%5D+=+x%2F18
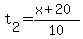
t%5B2%5D+=+%28x%2B20%29%2F10

x%2F18+%2B+%28x%2B20%29%2F10+=+8

For simplicity sake, multiply both sides of the equation by the product of 18 times 10 or 180. (The fact is that 90 is the LCD, and it would work even better, but 180 is easier to come up with and it works nearly as well.)

180%2A%28x%2F18%29+%2B+180%2A%28%28x%2B20%29%2F10+%29+=+180%2A8

Divide out the denominators:
10x+%2B+18%28x%2B+20%29+=+1440
+10x+%2B+18x+%2B+360+=+1440
28x+%2B+360+-+360+=+1440+-+360
28x+=+1080
x+=+1080%2F28+=+38+4%2F7+ miles

Time at 18 mph = D%2FR=+D+%2A+%281%2FR%29=++%281080%2F28%29+%2A%28+1%2F18%29+=+60%2F28+=+15%2F7+hours.

Time at 10 mph = hours.

Strange answer, but it does check (with a LOT of work!)

t%5B1%5D+%2B+t%5B2%5D+=+8
%281080%2F28%29%2A%281%2F18%29+%2B+%28%281080%2F28%29%2B2%29%2A+%281%2F10%29+=+8 hours.
+1080%2F%2828%2A18%29+%2B+1640%2F%2828%2A10%29+=+8
15%2F7+%2B+41%2F7+=+56%2F7+=+8
Believe it or not, this checks.

R^2 at SCC