SOLUTION: Annette drives her car 95 miles and has an average of a certain speed. If the average speed had been 8mph more, she could have traveled 114 miles in the same length of time. What w

Algebra ->  Customizable Word Problem Solvers  -> Travel -> SOLUTION: Annette drives her car 95 miles and has an average of a certain speed. If the average speed had been 8mph more, she could have traveled 114 miles in the same length of time. What w      Log On

Ad: Over 600 Algebra Word Problems at edhelper.com


   



Question 1178829: Annette drives her car 95 miles and has an average of a certain speed. If the average speed had been 8mph more, she could have traveled 114 miles in the same length of time. What was her average speed?
Found 2 solutions by ewatrrr, ikleyn:
Answer by ewatrrr(24785) About Me  (Show Source):
You can put this solution on YOUR website!


Hi

d = rt  0r t = d/r
times the same:
Let r be the average speed:
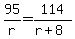
95%2Fr+=+114%2F%28r%2B8%29
114r = 95(r + 8)
 19r = 760
 r = 40mph

Wish You the Best in your Studies.


Answer by ikleyn(52812) About Me  (Show Source):
You can put this solution on YOUR website!
.

This problem is a  TWIN  to another one,  solved  10  minutes ago under this link

https://www.algebra.com/algebra/homework/word/travel/Travel_Word_Problems.faq.question.1178827.html

https://www.algebra.com/algebra/homework/word/travel/Travel_Word_Problems.faq.question.1178827.html