SOLUTION: 2. Being a maintenance engineer in a certain oil company you observe that one of the two pipes that is filling the oil tanker fills 4 times as fast as the other. With both pies wor

Algebra ->  Customizable Word Problem Solvers  -> Travel -> SOLUTION: 2. Being a maintenance engineer in a certain oil company you observe that one of the two pipes that is filling the oil tanker fills 4 times as fast as the other. With both pies wor      Log On

Ad: Over 600 Algebra Word Problems at edhelper.com


   



Question 1165289: 2. Being a maintenance engineer in a certain oil company you observe that one of the two pipes that is filling the oil tanker fills 4 times as fast as the other. With both pies working together, the tanker fills in 63 minutes.
a. Write a rational equation for the given.



b. How long would each pipe take working alone?


Found 2 solutions by josgarithmetic, solver91311:
Answer by josgarithmetic(39620) About Me  (Show Source):
You can put this solution on YOUR website!
              RATE in TANK per MINUTES

one pipe        4/t

other pipe      1/t

combined        1/63

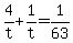
4%2Ft%2B1%2Ft=1%2F63
5%2Ft=1%2F63
t%2F5=63
t=5%2A63
t=315 and %284%2F315%29x=1 will give x, the time for the "one" pipe alone to fill the tanker.

Answer by solver91311(24713) About Me  (Show Source):
You can put this solution on YOUR website!




Solve for and then calculate


John

My calculator said it, I believe it, that settles it


I > Ø