SOLUTION: A moderately active 140-pound person will use 2,100 calories per day to maintain that body weight. How many calories per day are necessary o maintain a moderately active 165-pound

Algebra ->  Customizable Word Problem Solvers  -> Travel -> SOLUTION: A moderately active 140-pound person will use 2,100 calories per day to maintain that body weight. How many calories per day are necessary o maintain a moderately active 165-pound       Log On

Ad: Over 600 Algebra Word Problems at edhelper.com


   



Question 1159723: A moderately active 140-pound person will use 2,100 calories per day to maintain that body weight. How many calories per day are necessary o maintain a moderately active 165-pound person?
Answer by josgarithmetic(39633) About Me  (Show Source):
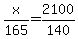
You can put this solution on YOUR website!
If this model is to work as just a proportion, then x%2F165=2100%2F140.