Question 1158426: A boat travels 2 km upstream and 2 km back. The time for the round trip is 4 hrs. The speed of the stream is 5 km/hr. What is the speed of the boat in still water?
Found 2 solutions by Shin123, ikleyn: Answer by Shin123(626) (Show Source):
You can put this solution on YOUR website! Let's say that the boat can travel x km/hr on still water. It can travel (x-5) km/hr upstream and (x+5) km/hr downstream. . . .
Solved by pluggable solver: COMPLETING THE SQUARE solver for quadratics |
Read this lesson on completing the square by prince_abubu, if you do not know how to complete the square. Let's convert to standard form by dividing both sides by 1:
We have: .
What we want to do now is to change this equation to a complete square . How can we find out values of somenumber and othernumber that would make it work?
Look at : . Since the coefficient in our equation that goes in front of x is -1, we know that -1=2*somenumber, or . So, we know that our equation can be rewritten as , and we do not yet know the other number.
We are almost there. Finding the other number is simply a matter of not making too many mistakes. We need to find 'other number' such that is equivalent to our original equation .

The highlighted red part must be equal to -25 (highlighted green part).
, or .
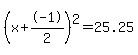
So, the equation converts to , or .
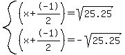
Our equation converted to a square , equated to a number (25.25).
Since the right part 25.25 is greater than zero, there are two solutions:

, or




Answer: x=5.52493781056044, -4.52493781056044.
|
The boat can travel about 5.525 km/hr.
Answer by ikleyn(52803) (Show Source):
|
|
|