SOLUTION: Tonio is travelling east at an average speed of 50 mph and the Mao travelling south at an average speed at 60 mph. At what time to the nearest minute will they be 300 miles apart?
Algebra ->
Customizable Word Problem Solvers
-> Travel
-> SOLUTION: Tonio is travelling east at an average speed of 50 mph and the Mao travelling south at an average speed at 60 mph. At what time to the nearest minute will they be 300 miles apart?
Log On
Question 1153547: Tonio is travelling east at an average speed of 50 mph and the Mao travelling south at an average speed at 60 mph. At what time to the nearest minute will they be 300 miles apart? Found 2 solutions by josgarithmetic, greenestamps:Answer by josgarithmetic(39626) (Show Source):
It is indeed correct that the statement of the problem is deficient. We have to assume that the two of them start at the same point; otherwise the problem can't be solved. Furthermore, the problem can't ask "at what time" the two of them are 300 miles apart, because the starting time is not given.
Nevertheless, we can still demonstrate the process for solving the problem....
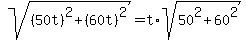
After t hours, the distance between them (from the Pythagorean Theorem) is
The number of hours after they start that the distance between them is 300 miles is
= 3.8411 to a few decimal places
To the nearest minute, that is 3 hours and 50 minutes.