SOLUTION: A salesman drives from Ajax to Barrington, a distance of 147 mi, at a steady speed. He then increases his speed by 15 mi/h to drive the 190 mi from Barrington to Collins. If the se

Algebra ->  Customizable Word Problem Solvers  -> Travel -> SOLUTION: A salesman drives from Ajax to Barrington, a distance of 147 mi, at a steady speed. He then increases his speed by 15 mi/h to drive the 190 mi from Barrington to Collins. If the se      Log On

Ad: Over 600 Algebra Word Problems at edhelper.com


   



Question 1132807: A salesman drives from Ajax to Barrington, a distance of 147 mi, at a steady speed. He then increases his speed by 15 mi/h to drive the 190 mi from Barrington to Collins. If the second leg of his trip took 5 min more time than the first leg, how fast was he driving between Ajax and Barrington?
Answer by josgarithmetic(39618) About Me  (Show Source):
You can put this solution on YOUR website!
r, speed of first leg of trip

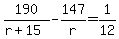
190%2F%28r%2B15%29-147%2Fr=1%2F12

highlight%28r=60%29
-
                          SPEED       TIME        DISTANCE
Ajax to Barrington        r           147/r        147
Barrington to Collins    r+15         190/(r+15)   190

Difference                          5/60=1/12

.
.
.
r%5E2%2B%2815-12%2A190%2B12%2A147%29r%2B15%2A12%2A147=0
r%5E2-501r%2B26460=0
discriminant501%5E2-4%2A26460=145161=381%5E2

r=%28501%2B-+381%29%2F2
-
Lesservaluemorereasonablecarspeed