SOLUTION: A manager travels 2000 miles in a jet and then an additional 500 miles by car. If the car takes one hour longer than the jet ride, and if the speed of the jet is 5 times that of t

Algebra ->  Customizable Word Problem Solvers  -> Travel -> SOLUTION: A manager travels 2000 miles in a jet and then an additional 500 miles by car. If the car takes one hour longer than the jet ride, and if the speed of the jet is 5 times that of t      Log On

Ad: Over 600 Algebra Word Problems at edhelper.com


   



Question 1124835: A manager travels 2000 miles in a jet and then an additional 500 miles by car. If the car takes one hour longer than the jet ride, and if the speed of the jet is 5 times that of the car, find the time the manager travels by jet and by car, respectively.
Found 2 solutions by josgarithmetic, greenestamps:
Answer by josgarithmetic(39627) About Me  (Show Source):
You can put this solution on YOUR website!
Jet time, j
Jet speed, 5r
Car time, j+1
Car speed, r

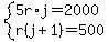
System of Equations, system%285r%2Aj=2000%2Cr%28j%2B1%29=500%29

-
Working with the first equation
5%2Arj=2000
%281%2F5%295%2A%28rj%29=%281%2F5%292000
rj=2000%2F5=400
rj=400

-
Working with the second equation of the system
rj%2Br=500
r=500-rj
r=500-400bysubstitution
highlight%28r=100%29------speed of the car

rj=400
j=400%2Fr
j=400%2F100
j=4---------time on the jet, hours


j%2B1
4%2B1
5---------time in the car, hours

Answer by greenestamps(13206) About Me  (Show Source):
You can put this solution on YOUR website!


Let x be the speed of the car; then 5x is the speed of the jet.

time = distance divided by speed:
time in jet = 2000/5x
time in car = 500/x

The time in the car is 1 hour more than the time in the jet:
500/x = 2000/5x+1
500/x = 400/x+1
100/x = 1
x = 100

The speed of the car is x = 100mph; the speed of the jet is 5x = 500mph.

The time in the car is 500/100 = 5 hours; the time in the jet is 2000/500 = 4 hours.