SOLUTION: During a charity ride Sally and Ruth each cycle 120 km. Ruth’s average speed for the journey is 2km faster than Sally’s average speed. A) let Sally’s speed be x km/ h. Write expre

Algebra ->  Customizable Word Problem Solvers  -> Travel -> SOLUTION: During a charity ride Sally and Ruth each cycle 120 km. Ruth’s average speed for the journey is 2km faster than Sally’s average speed. A) let Sally’s speed be x km/ h. Write expre      Log On

Ad: Over 600 Algebra Word Problems at edhelper.com


   



Question 1119232: During a charity ride Sally and Ruth each cycle 120 km. Ruth’s average speed for the journey is 2km faster than Sally’s average speed.
A) let Sally’s speed be x km/ h. Write expressions in terms of x, for the time needed by each girl to complete her journey.
B) if Ruth takes 40 minutes less time to compete the journey, write an expression and solve it to find Sally’s average speed during the charity ride

Answer by josmiceli(19441) About Me  (Show Source):
You can put this solution on YOUR website!
(A)
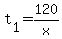
Equation for Sally's time:
+t%5B1%5D+=+120%2Fx+
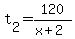
Equation for Ruth's time:
+t%5B2%5D+=+120%2F%28+x%2B2+%29+
(B)
Note that you must convert minutes to hrs
since the speeds are in km/hr
+120%2Fx+-+40%2F60+=+120%2F%28+x%2B2+%29+
+120%2Fx+-+2%2F3+=+120%2F%28+x%2B2+%29+
Multiply both sides by +3%2Ax%2A%28+x%2B2+%29+
+120%2A3%2A%28+x%2B2+%29+-+2x%2A%28+x%2B2+%29+=+120%2A3%2Ax+
+360%2A%28+x%2B2+%29+-+2x%5E2+-+4x+=+360x+
+360x+%2B+720+-+2x%5E2+-+4x+=+360x+
+2x%5E2+%2B+4x+-+720+=+0+
+x%5E2+%2B2x+-+360+=+0+
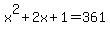
complete the square
+x%5E2+%2B+2x+%2B+1+=+361+
+%28+x+%2B+1+%29%5E2+=+19%5E2+{
+x+%2B+1+=+19+
+x+=+18+
Saly's ave speed was 18 km/hr