SOLUTION: If Sandra drove to work at 30 mph, she will be late by 15 minutes. If she drove at 40 mph, she will arrive 10 minutes early. How far does she travel in going to work?

Algebra ->  Customizable Word Problem Solvers  -> Travel -> SOLUTION: If Sandra drove to work at 30 mph, she will be late by 15 minutes. If she drove at 40 mph, she will arrive 10 minutes early. How far does she travel in going to work?      Log On

Ad: Over 600 Algebra Word Problems at edhelper.com


   



Question 1115466: If Sandra drove to work at 30 mph, she will be late by 15 minutes. If she drove at 40 mph, she will arrive 10
minutes early. How far does she travel in going to work?

Found 2 solutions by ikleyn, josgarithmetic:
Answer by ikleyn(52928) About Me  (Show Source):
You can put this solution on YOUR website!
.
Let L be the distance to work.


Then from the condition you have this "time" equation


L%2F30 - L%2F40 = 1%2F4 + 1%2F6.


Multiply both sides by 120. You will get


4L - 3L = 30 + 20,   or


L = 50.


Answer.  50 miles.


Check.  50%2F30+-+50%2F40 = 5%2F3+-+5%2F4 = 20%2F12-15%2F12 = 5%2F12;   1%2F4+%2B+1%2F6 = 3%2F12+%2B+2%2F12 = 5%2F12.   ! Correct !

----------------
To see other similar solved problems,  look into the lesson
    - How far do you live from school?
in this site.


Answer by josgarithmetic(39631) About Me  (Show Source):
You can put this solution on YOUR website!
x, time normally expected
d, distance to work
SPEED       TIME            DISTANCE
30         t%2B1%2F4           d
40         t-1%2F6           d


30%28t%2B1%2F4%29=40%28t-1%2F6%29
-
3%28t%2B1%2F4%29=4%28t-1%2F6%29
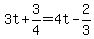
3t%2B3%2F4=4t-2%2F3
t=3%2F4%2B2%2F3
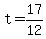
t=17%2F12

-
DISTANCE
30%2817%2F12%2B1%2F4%29
30%2817%2F12%2B3%2F12%29
30%2A20%2F12
highlight%2850%29