SOLUTION: When Fritz drives to work his trip takes 36 ​minutes, but when he takes the train it takes 20 minutes. Find the distance Fritz travels to work if the train travels an average

Algebra ->  Customizable Word Problem Solvers  -> Travel -> SOLUTION: When Fritz drives to work his trip takes 36 ​minutes, but when he takes the train it takes 20 minutes. Find the distance Fritz travels to work if the train travels an average      Log On

Ad: Over 600 Algebra Word Problems at edhelper.com


   



Question 1098814: When Fritz drives to work his trip takes 36 ​minutes, but when he takes the train it takes 20 minutes. Find the distance Fritz travels to work if the train travels an average of 48 miles per hour faster than his driving. Assume that the train travels the same distance as the car.
Answer by josgarithmetic(39630) About Me  (Show Source):
You can put this solution on YOUR website!
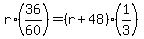
r%2A%2836%2F60%29=%28r%2B48%29%281%2F3%29
-
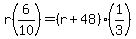
r%286%2F10%29=%28r%2B48%29%281%2F3%29
%283%2F5%29r=%281%2F3%29%28r%2B48%29
9r=5%28r%2B48%29
9r=5r%2B5%2A48
4r=5%2A48
highlight%28r=60%29miles%2Fhour------------speed driving by car


DISTANCE:
60%2A0.6
6%2A6%2A10%2A%281%2F10%29
highlight%2836%2Amiles%29