SOLUTION: A motorist starts from city A at 2:00pm and travels to city B at an average speed of 30mi/hr. After resting at B for 1 hr, she returns over the same route at an average speed of 4

Algebra ->  Customizable Word Problem Solvers  -> Travel -> SOLUTION: A motorist starts from city A at 2:00pm and travels to city B at an average speed of 30mi/hr. After resting at B for 1 hr, she returns over the same route at an average speed of 4      Log On

Ad: Over 600 Algebra Word Problems at edhelper.com


   



Question 1095402: A motorist starts from city A at 2:00pm and travels to city B at an average speed of 30mi/hr. After resting at B for 1 hr, she returns over the same route at an average speed of 40mi/hr and arrives at A that evening at 6:30Pm.determine the distance between a and b

Found 2 solutions by josgarithmetic, greenestamps:
Answer by josgarithmetic(39631) About Me  (Show Source):
You can put this solution on YOUR website!
Total travel time was 3.5 hours.
Same distance going A to B as B to A.

            SPEED      TIME        DISTANCE

A to B        30       d%2F30          d

B to A        40       d%2F40          d

Total                  3%261%2F2

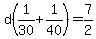
Solve for d in d%2F30%2Bd%2F40=3%261%2F2.

-
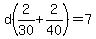
d%281%2F30%2B1%2F40%29=7%2F2
d%282%2F30%2B2%2F40%29=7
d%281%2F15%2B1%2F20%29=7
d%284%2B3%29=420
d=420%2F7=%286%2A7%2A10%29%2F7
highlight%28d=60%29

Answer by greenestamps(13216) About Me  (Show Source):
You can put this solution on YOUR website!

You can make solving this easy if you use the fact that if the same distance is covered at two different rates that are in the ratio m:n, then the amounts of time spent at those respective rates are in the ratio n:m.

The total travel time was 3.5 hours. The ratio of the speeds was 30:40 = 3:4; the ratio of times had to be 4:3.

A bit of arithmetic shows that 3.5 hours divided into two parts in the ratio 4:3 means 2 hours at the first rate and 1.5 hours at the second rate.

Then the distance from A to B can be found using the time and rate for either part of the trip:
2 hours @ 30mph = 60 miles
1.5 hours @ 40mph = 60 miles