SOLUTION: julia drive 10 km due west of her home. Then she heads 15 km south. What is the total distance that she has travelled from his house?

Algebra ->  Customizable Word Problem Solvers  -> Travel -> SOLUTION: julia drive 10 km due west of her home. Then she heads 15 km south. What is the total distance that she has travelled from his house?      Log On

Ad: Over 600 Algebra Word Problems at edhelper.com


   



Question 1079130: julia drive 10 km due west of her home. Then she heads 15 km south. What is the total distance that she has travelled from his house?
Answer by Fombitz(32388) About Me  (Show Source):
You can put this solution on YOUR website!
Just a couple of things, the past participle of drive is drove so "Julia drove..." since it happened already.
Possessive pronouns and the nouns that they modify must match.
Since Julia is a female, it would be "her house" not "his house".
So Julia drove 10km then another 15km so in all she traveled,
D%5B1%5D=10%2B15km
Add that up to find the total she's driven.
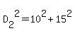
Now the distance where she ended up to where she currently is would be calculated using the Pythagorean theorem since the two distances traveled are perpendicular to each other and form a right triangle.
D%5B2%5D%5E2=10%5E2%2B15%5E2
D%5B2%5D=sqrt%28100%2B225%29km