SOLUTION: a plane travels at 900km/h when there's no wind. The straight line distance between Johannesburg and George is 1000km. With wind blowing the plane takes 2 and a 1/4 hours to do a r

Algebra ->  Customizable Word Problem Solvers  -> Travel -> SOLUTION: a plane travels at 900km/h when there's no wind. The straight line distance between Johannesburg and George is 1000km. With wind blowing the plane takes 2 and a 1/4 hours to do a r      Log On

Ad: Over 600 Algebra Word Problems at edhelper.com


   



Question 1067961: a plane travels at 900km/h when there's no wind. The straight line distance between Johannesburg and George is 1000km. With wind blowing the plane takes 2 and a 1/4 hours to do a return flight from Johannesburg to George. On the way to George the wind slows down the plane by X km/h and the same wind speeds the plane up by X km/h on the return trip.
Calculate the wind speed X.

Found 2 solutions by josgarithmetic, Alan3354:
Answer by josgarithmetic(39631) About Me  (Show Source):
You can put this solution on YOUR website!
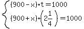
               SPEED        TIME      DISTANCE

J to G          900-x        t          1000

G to J          900+x       2%261%2F4       1000


system%28%28900-x%29t=1000%2C%28900%2Bx%29%282%261%2F4%29=1000%29


You only need the return trip, second equation. The J to G equation is not necessary.

Answer by Alan3354(69443) About Me  (Show Source):
You can put this solution on YOUR website!
No one cares about the windspeed after the flying is done.