Question 1058289: Hikers Mario and Evan start out at the same point. Mario walks due North for x miles. In the same amount of time, Evan, going due east, walks one mile further than Mario walked. When they stop, the distance between the hikers is 2 miles more than the distance walked by Mario. How far did each hiker walk?
Answer by KMST(5328) (Show Source):
You can put this solution on YOUR website! = distance walked by Mario, in miles
= distance walked by Evan
= distance between Mario and Evan at the end of their walks.
The 3 distances above are the lengths of the sides of a triangle.
Since Mario and Evan walked in directions perpendicular to each other,
their walks are the legs of a right trisngle,
and the final distance between them is the hypotenuse of that triangle.
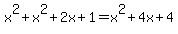
According to the Pythagorean theorem,





is the only positive solution,
so Mario walked ,
and is the number of miles walked by Evan.
NOTE:
The triangle is a 3-4-5 triangle,
the most popular right triangle with whole number side lengths,
and the only one with where the long leg and hypotenuse
are longer than the short leg by 1 and 2 units respectively
(as proven above).
Knowing that, no calvulation is needed,
which would be helpful if this was a multiple choice question.
|
|
|