SOLUTION: This is a word problem im stuck on. Charles took 2 hours longer to drive 240 miles on the first day of vacation than to drive 144 miles on the second day of vacation. If his aver

Algebra ->  Customizable Word Problem Solvers  -> Travel -> SOLUTION: This is a word problem im stuck on. Charles took 2 hours longer to drive 240 miles on the first day of vacation than to drive 144 miles on the second day of vacation. If his aver      Log On

Ad: Over 600 Algebra Word Problems at edhelper.com


   



Question 1050546: This is a word problem im stuck on. Charles took 2 hours longer to drive 240 miles on the first day of vacation than to drive 144 miles on the second day of vacation. If his average driving rate was the same on both days what was his driving time for each day? (Hint: r=d/t)
Answer by josmiceli(19441) About Me  (Show Source):
You can put this solution on YOUR website!
Let +t+ = time in hrs to drive 144 mi
on the 2nd day
+t+%2B+2+ = time to drive 240 mi on the
1st day
--------------------
His rate on the 1st day:
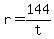
(1) +r+=+240%2F%28+t+%2B+2+%29+
His rate on the 2nd day:
(2) +r+=+144%2Ft+
--------------------------
Substitute (2) into (1)
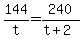
(1) +144%2Ft+=+240%2F%28+t+%2B+2+%29+
Multiply both sides by +t%2A%28+t%2B2+%29+
(1) +144%2A%28+t%2B2+%29+=+240t+
(1) +144t+%2B+288+=+240t+
(1) +96t+=+288+
(1) +t+=+3+
and
+t+%2B+2++=+5+
-----------------
On the 1st day, he drove for 5 hrs
On the 2nd day, he drove for 3 hrs
----------------------------------
check:
(2) +r+=+144%2Ft+
(2) +r+=+144%2F3+
(2) +r+=+48+ mi/hr
and
(1) +r+=+240%2F%28+t%2B2+%29+
(1) +r+=+240%2F5+
(1) +r+=+48+ mi/hr
OK